Panc-1-Luc
CBP30141L
詢 價
留 言
產品描述
產品數據庫
| I. Introduction | |
| Host Cell: | PANC-1 |
| Expressed gene: | Luciferase |
| Stability: | 32 passages(in-house test, that not means the cell line will be instable beyond the passages we tested.) |
| Freeze Medium: | 90% FBS+10% DMSO |
| Culture Medium: | DMEM+10%FBS+2ug/ml puromycin |
| Mycoplasma Status: | Negative |
| Storage: | Liquid nitrogen |
| II. Description of Host Cell Line | |
| Organism: | Homo sapiens,human |
| Tissue: | Pancreas Duct |
| Disease: | Epithelioidcarcinoma |
| Morphology: | Epitheloid cell |
| Growth Properties: | Adherent |
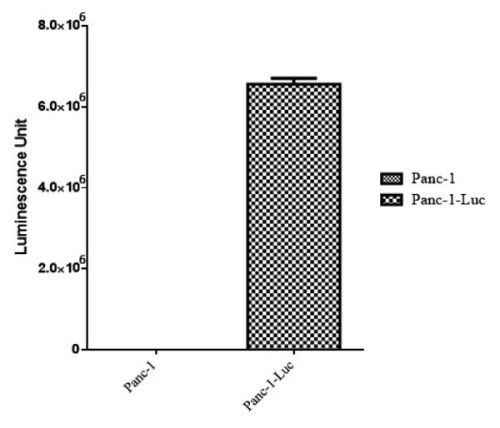
| III. Representative Data | |
![]() |
|
|
Figure. Detect Luciferase assay by Promega Bright-Glo Luciferase Assay System.. |
|
| IV. Stablity Test | |
![]() |
|
|
Figure. Stablity test results. Panc-1-Luc cells showed at least 32 passage stability with similar luminescence unit. |
|

